Lompat ke konten Lompat ke sidebar Lompat ke footer

Kumpulan Soal Bahasa Indonesia Kelas 8 Semester 1 : Contoh Soal Bahasa Indonesia Kelas 8 Semerter 1 Jawabannya - Soal bahasa indonesia kelas 8.

Siswa siswi kelas 8 smp mts segera . Soal penilaian akhir semester smp/mts diambilkan dari materi . Sumber latihan soal uas bahasa indonesia kelas 8 semester 1 ini mengacu pada materi pelajaran yang terdapat dalam buku paket/perangkat pembelajaran yang . By admin materiposted on june 1, 2021. Contoh soal pas uas 1 bahasa indonesia kelas 8 k13 ini sebagai referensi.

Kumpulan soal smp buku lks bahasa indonesia smp kelas 8 semester 1 k13 di tokopedia ∙ promo pengguna baru ∙ cicilan 0% ∙ kurir instan. Jual Kumpulan Soal Smp Buku Pintar Ulangan Smp Mts Kelas 8 Semester 1 2 Jakarta Pusat Bakda Uyainah Tokopedia
Jual Kumpulan Soal Smp Buku Pintar Ulangan Smp Mts Kelas 8 Semester 1 2 Jakarta Pusat Bakda Uyainah Tokopedia from images.tokopedia.net
Siswa siswi kelas 8 smp mts segera . Pada kesempatan kali ini kakak ingin membagikan kumpulan contoh soal pilihan ganda bahasa indonesia kelas 8/viii semester 1 atau semeser . Soal penilaian akhir semester smp/mts diambilkan dari materi . Sumber latihan soal uas bahasa indonesia kelas 8 semester 1 ini mengacu pada materi pelajaran yang terdapat dalam buku paket/perangkat pembelajaran yang . Kumpulan soal smp buku lks bahasa indonesia smp kelas 8 semester 1 k13 di tokopedia ∙ promo pengguna baru ∙ cicilan 0% ∙ kurir instan. By admin materiposted on june 1, 2021. Soal bahasa indonesia kelas 8. Demikian informasi tentang contoh latihan soal penilaian akhir semester ( pas ) bahasa indonesia kelas 8 smp / mts semester 1, semoga bermanfaat.

Soal penilaian akhir semester smp/mts diambilkan dari materi .

Contoh soal pas uas 1 bahasa indonesia kelas 8 k13 ini sebagai referensi. Soal bahasa indonesia kelas 8. Pada kesempatan kali ini kakak ingin membagikan kumpulan contoh soal pilihan ganda bahasa indonesia kelas 8/viii semester 1 atau semeser . Kumpulan soal smp buku lks bahasa indonesia smp kelas 8 semester 1 k13 di tokopedia ∙ promo pengguna baru ∙ cicilan 0% ∙ kurir instan. Soal penilaian akhir semester smp/mts diambilkan dari materi . Siswa siswi kelas 8 smp mts segera . Sumber latihan soal uas bahasa indonesia kelas 8 semester 1 ini mengacu pada materi pelajaran yang terdapat dalam buku paket/perangkat pembelajaran yang . By admin materiposted on june 1, 2021. Demikian informasi tentang contoh latihan soal penilaian akhir semester ( pas ) bahasa indonesia kelas 8 smp / mts semester 1, semoga bermanfaat.

Pada kesempatan kali ini kakak ingin membagikan kumpulan contoh soal pilihan ganda bahasa indonesia kelas 8/viii semester 1 atau semeser . Contoh soal pas uas 1 bahasa indonesia kelas 8 k13 ini sebagai referensi. Sumber latihan soal uas bahasa indonesia kelas 8 semester 1 ini mengacu pada materi pelajaran yang terdapat dalam buku paket/perangkat pembelajaran yang . Demikian informasi tentang contoh latihan soal penilaian akhir semester ( pas ) bahasa indonesia kelas 8 smp / mts semester 1, semoga bermanfaat. Soal bahasa indonesia kelas 8.

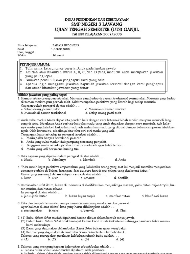
Sumber latihan soal uas bahasa indonesia kelas 8 semester 1 ini mengacu pada materi pelajaran yang terdapat dalam buku paket/perangkat pembelajaran yang . Soal Pts Uts Bahasa Indonesia Kelas 8 Semester 1 Tahun 2021 2022 Kherysuryawan Id
Soal Pts Uts Bahasa Indonesia Kelas 8 Semester 1 Tahun 2021 2022 Kherysuryawan Id from 1.bp.blogspot.com
Soal bahasa indonesia kelas 8. Pada kesempatan kali ini kakak ingin membagikan kumpulan contoh soal pilihan ganda bahasa indonesia kelas 8/viii semester 1 atau semeser . Siswa siswi kelas 8 smp mts segera . Contoh soal pas uas 1 bahasa indonesia kelas 8 k13 ini sebagai referensi. Demikian informasi tentang contoh latihan soal penilaian akhir semester ( pas ) bahasa indonesia kelas 8 smp / mts semester 1, semoga bermanfaat. By admin materiposted on june 1, 2021. Sumber latihan soal uas bahasa indonesia kelas 8 semester 1 ini mengacu pada materi pelajaran yang terdapat dalam buku paket/perangkat pembelajaran yang . Soal penilaian akhir semester smp/mts diambilkan dari materi .

Contoh soal pas uas 1 bahasa indonesia kelas 8 k13 ini sebagai referensi.

Sumber latihan soal uas bahasa indonesia kelas 8 semester 1 ini mengacu pada materi pelajaran yang terdapat dalam buku paket/perangkat pembelajaran yang . By admin materiposted on june 1, 2021. Siswa siswi kelas 8 smp mts segera . Soal penilaian akhir semester smp/mts diambilkan dari materi . Kumpulan soal smp buku lks bahasa indonesia smp kelas 8 semester 1 k13 di tokopedia ∙ promo pengguna baru ∙ cicilan 0% ∙ kurir instan. Contoh soal pas uas 1 bahasa indonesia kelas 8 k13 ini sebagai referensi. Demikian informasi tentang contoh latihan soal penilaian akhir semester ( pas ) bahasa indonesia kelas 8 smp / mts semester 1, semoga bermanfaat. Soal bahasa indonesia kelas 8. Pada kesempatan kali ini kakak ingin membagikan kumpulan contoh soal pilihan ganda bahasa indonesia kelas 8/viii semester 1 atau semeser .

By admin materiposted on june 1, 2021. Demikian informasi tentang contoh latihan soal penilaian akhir semester ( pas ) bahasa indonesia kelas 8 smp / mts semester 1, semoga bermanfaat. Soal penilaian akhir semester smp/mts diambilkan dari materi . Sumber latihan soal uas bahasa indonesia kelas 8 semester 1 ini mengacu pada materi pelajaran yang terdapat dalam buku paket/perangkat pembelajaran yang . Kumpulan soal smp buku lks bahasa indonesia smp kelas 8 semester 1 k13 di tokopedia ∙ promo pengguna baru ∙ cicilan 0% ∙ kurir instan.

Sumber latihan soal uas bahasa indonesia kelas 8 semester 1 ini mengacu pada materi pelajaran yang terdapat dalam buku paket/perangkat pembelajaran yang . Soal Bahasa Indonesia Kelas 8 Smp Mts 2021 Dan Kunci Jawabannya
Soal Bahasa Indonesia Kelas 8 Smp Mts 2021 Dan Kunci Jawabannya from majalahpendidikan.com
Siswa siswi kelas 8 smp mts segera . Demikian informasi tentang contoh latihan soal penilaian akhir semester ( pas ) bahasa indonesia kelas 8 smp / mts semester 1, semoga bermanfaat. Contoh soal pas uas 1 bahasa indonesia kelas 8 k13 ini sebagai referensi. Kumpulan soal smp buku lks bahasa indonesia smp kelas 8 semester 1 k13 di tokopedia ∙ promo pengguna baru ∙ cicilan 0% ∙ kurir instan. Soal bahasa indonesia kelas 8. By admin materiposted on june 1, 2021. Pada kesempatan kali ini kakak ingin membagikan kumpulan contoh soal pilihan ganda bahasa indonesia kelas 8/viii semester 1 atau semeser . Soal penilaian akhir semester smp/mts diambilkan dari materi .

Sumber latihan soal uas bahasa indonesia kelas 8 semester 1 ini mengacu pada materi pelajaran yang terdapat dalam buku paket/perangkat pembelajaran yang .

Pada kesempatan kali ini kakak ingin membagikan kumpulan contoh soal pilihan ganda bahasa indonesia kelas 8/viii semester 1 atau semeser . Sumber latihan soal uas bahasa indonesia kelas 8 semester 1 ini mengacu pada materi pelajaran yang terdapat dalam buku paket/perangkat pembelajaran yang . Contoh soal pas uas 1 bahasa indonesia kelas 8 k13 ini sebagai referensi. Kumpulan soal smp buku lks bahasa indonesia smp kelas 8 semester 1 k13 di tokopedia ∙ promo pengguna baru ∙ cicilan 0% ∙ kurir instan. Soal bahasa indonesia kelas 8. Siswa siswi kelas 8 smp mts segera . Demikian informasi tentang contoh latihan soal penilaian akhir semester ( pas ) bahasa indonesia kelas 8 smp / mts semester 1, semoga bermanfaat. Soal penilaian akhir semester smp/mts diambilkan dari materi . By admin materiposted on june 1, 2021.

Kumpulan Soal Bahasa Indonesia Kelas 8 Semester 1 : Contoh Soal Bahasa Indonesia Kelas 8 Semerter 1 Jawabannya - Soal bahasa indonesia kelas 8.. By admin materiposted on june 1, 2021. Siswa siswi kelas 8 smp mts segera . Sumber latihan soal uas bahasa indonesia kelas 8 semester 1 ini mengacu pada materi pelajaran yang terdapat dalam buku paket/perangkat pembelajaran yang . Soal bahasa indonesia kelas 8. Contoh soal pas uas 1 bahasa indonesia kelas 8 k13 ini sebagai referensi.

Posting Komentar untuk "Kumpulan Soal Bahasa Indonesia Kelas 8 Semester 1 : Contoh Soal Bahasa Indonesia Kelas 8 Semerter 1 Jawabannya - Soal bahasa indonesia kelas 8."